반응형
주응력
2차원 주응력

Fig. 3.1
- 그림 3.1을 보면, 면 bc에는 2종류의 응력, 즉 수직 응력 σξ와 전단 응력 τξη가 작용하고 있습니다. 그러나 각도 θ를 0부터 2π 까지 연속적으로 변화시키면, 임의의 각도에서 τξη가 0 로 되는 것을 알 수 있습니다. 이 사실은 다음과 같이 보이는 것이 가능합니다.
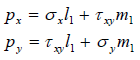
- 그림 3.1에서, P는 면 bc에 작용하는 합응력이며 p2 = σξ2 + τξη2이다. 면 bc의 길이를 1로 두면, 방향 여현을 이용해서, AB=m1, AC=l1이 됩니다. 평판 중의 요소 ΔABC에 작용하는 힘의 평형 조건을 고려하기 위해, 면 BC에 작용하는 힘의 x, y 방향 성분을 각각 아래와 같이 둡니다.

- 임의의 각도에서 τξη가 0이 되었다고 두면, BC상에 작용하는 힘의 x, y방향 성분은 다음과 같이 표현할 수 있습니다.

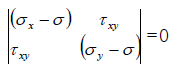
- 이렇게 τξη = 0이 되는 평면에 작용하는 τξη를 σ로 표시하면 다음과 같이 됩니다.

- 다시 정리하면

- 위 식은 l1 = m1 = 0 혹은 l1, m1을 미지수로 하는 2원 일차연립방정식의 계수 행렬식이 0이 되는 것을 요구합니다. 방향 여현의 성질에서 보면, l1=m1=0의 경우는 없으므로 다음 식이 성립해야만 합니다.

- 위 식을 풀면 2개의 근 σ1, σ2을 얻을 수 있으며, 두 근은 아래와 같습니다.

- 이 두 개의 근을 주응력이라고 합니다.
- 즉, 주응력이란 “전단 응력이 작용하지 않는 면에 작용하는 수직 응력”을 뜻합니다. 주응력의 방향을 주축이라고 하며, 전단 응력이 항상 쌍으로 존재하기 때문에 이 주축도 항상 직교하면서 쌍으로 존재합니다. 이 과정은 선형대수학에서 고유치 문제해법과 동일한 과정입니다. 각 주응력은 고유치이며, 주축의 방향 여현은 고유 벡터를 의미합니다. 주응력이 정해지면, 주축의 방향은 B에 의해 아래와 같이 구해집니다.

- dσξ/dθ = 0로 구하는 방법은 σ가 최대로 되는 면을 구한 뒤, 그 면에서 전단 응력이 0이 되는 것을 확인한 후 구할 수 있습니다.
3차원 주응력
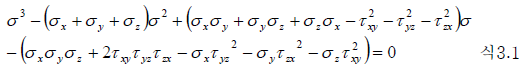
- 2차원의 경우와 동일하게, 3차원 상태에 있어서의 주응력 σ1, σ2, σ3이 만족하는 조건을 도출하는 것도 가능합니다. 즉,

- 위 식을 전개하면,

- 위 식과 같은 3차방정식의 근을 구하는 것은, 식이 특별한 형태를 취하고 있지 않는 한 꽤 번거롭습니다. 다행히도 실제 문제에서는 σx, σy, σz⋅⋅가 주어져 있고 그것들에 의해 3차원 상태의 주응력을 구하지 않으면 안 되는 문제가 그리 흔치 않습니다. 물체 표면의 주응력이 필요한 경우는 가끔 있지만, 이 경우에는 2차원 문제로 귀착됩니다.
- 위 식의 3개의 근 σ1, σ2, σ3이 구해졌다고 하면 위 식은 아래와 같이 인수분해 형태로 표현될 것입니다.

- 다시 위 식을 전개하면

- 여기서

- 주응력은 좌표축의 선택 방법에 의존하지 않는 값이므로 임의의 응력 상태가 정해지면 J1, J2, J3 는 장소에 의해 정해지는 일정치가 되며, 이것들 각각을 제1차, 제2차, 제3차 응력 불변량이라 부릅니다. 식 3.1과 3.3은 원래 같은 것이었고, 양자의 계수를 비교해보면,

- 등도 동일한 응력 불변량임을 알 수 있습니다. 따라서 주축, x-y-z축 및 ξ-η-ζ 좌표계로부터 본 응력에서 응력 불변량을 표시하면 아래와 같습니다.

- 3차방정식 식 3.1을 푸는 것이 아니라, 풀지 않고 얻어진 이상의 성질을 이해하는 것이 중요합니다. J1은 응력 상태의 정수압(hydrostatic)성분의 크기 및 응력과 변형률의 관계(Hooke의 법칙)에서 체적 변화에 관계하는 량입니다. J3는 소성변형의 원인으로 알려지는 량의 크기이며 J3의 의미는 J1, J2 만큼 명확하게 알려져 있지는 않습니다.
응력과 변형률(일반화된 Hooke의 법칙)
- 일반화된 Hook의 법칙은 등방 균질재료의 응력과 변형률의 탄성 범위 내에서의 관계를 도출합니다. 등방성(Isotropic)이란 방향에 의해 탄성적인 성질이 변하지 않는 것을 뜻합니다. 현실적으로 완벽하게 등방성인 재료는 존재하지 않으나, 대부분의 공학적인 문제에서 특별한 경우를 제외하고는 등방성으로 취급합니다.
- 이것과 대비되는 것으로 이방성(anisotropic)이라는 성질도 있다. 이것은 실제로 거의 모든 재료를 미시적으로 볼 때는 여기에 해당됩니다. 하지만 이방성 재료를 거론할 때는 특별한 기법이 요구되므로, 아주 정밀한 해가 요구되는 문제가 아니라면 보통 고려하지 않습니다.
- 균질성(Homogeneous)이란, 장소에 의해 탄성적 성질이 변하지 않는 것을 뜻합니다. 완전한 균질 재료는 존재하지 않으며, 특히 결정 단위의 미시적인 기준에서 보면, 구조는 조직이 서로 다르며 균질이라고 정의 내릴 수 없습니다. 일반적인 재료역학 및 탄성 역학의 범위에서는, 미소 변형과 균질 등방성 재료를 대상으로 합니다. 응력과 변형률은 서로 함수 관계에 있다고 생각됩니다. 예를 들면

- 로 표현할 수 있습니다.

- 의 경우는 σx = 0 이기 때문에 σx를 변형률의 함수로 보고 테일러 전개하면, 2차 이상의 미소항을 생략하면 다음과 같이 됩니다.

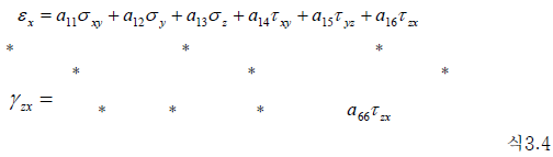
- 위 식에서 C11 ~ C16 은 재료정수입니다. 다른 성분에 대해서도 동일하게 표현하는 것이 가능하므로, 요약해서 정리하면 다음과 같습니다.

- 위 관계는 변형률을 좌변으로 두고 정리하면 다음과 같습니다.

- 여기서 aij는 탄성 계수에 관계한 량입니다.
- 식 3.4의 제 1식을 예로 들어서 생각해 보면, τxy가 작용한다면 εx에 영향을 미칠 가능성이 있다는 것을 의미합니다. 그러나 실제로 이러한 것은 일어날 수 없습니다. 만약 a14 > 0이라면, 그림 3.1(a)과 같이 정의 τxy 가 작용할 때, εx > 0 가 됩니다. 즉, x방향으로 늘어나게 됩니다.
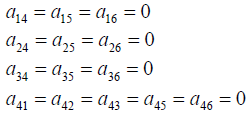
- 반대로, (b)의 경우와 같이, 의 경우에는 x방향으로 줄어드는 것이 됩니다. 그러나 (a)의 경우를 뒤에서 보면 (b)와 같이 되고 이때에는 εx < 0 가 됩니다. 이렇듯, a14 > 0 이라면 모순되는 결과가 되고, 마찬가지로 a14 < 0 라고 해도 동일한 모순에 빠지게 됩니다. 결국 a14 = 0 이 아니면 안 되게 됩니다. 식 3.4의 각 식에 대해 동일한 고찰을 하면, 아래의 관계를 얻을 수 있습니다.


Fig 3.2

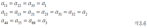
- 또한 균질 등방성을 고려하면,

- 따라서


- 이 됩니다.
- 식 3.8로부터, 전단 응력이 작용하지 않는 좌표계에서는 전단변형률도 0이 되기 때문에 응력의 주축과 변형률의 주축이 일치한다는 것을 알게 됩니다. 따라서 주축 방향의 변형률에 대해서는 아래의 식이 성립합니다.

- 방향여현을 주축(123)과 (x, y, z)좌표계 사이의 각도로 정의하면 γxy를 ε1, ε2, ε3로 또한 τxy를 σ1, σ2, σ3로 나타내는 것이 가능해집니다.

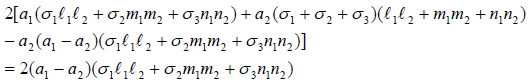
- 여기서 식 3.8의 제 1식과 식 3.9~11의 관계를 고려하면 a3는 a1, a2와 독립적이지 않다는 것을 알 수 있습니다. 즉, 식 3.8과 3.10, 3,11로부터

- 위 식의 좌변에 식3.9를 대입하면

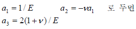
- 가 되고 a3 = 2(a1 − a2) 가 되어 독립적인 탄성 계수는 2개라는 것을 알 수 있습니다. 여기서

- 가 되고, 등방균질성 재료에 대한 일반화된 Hooke의 법칙을 얻을 수 있습니다.

응력텐서
- 6개의 응력 성분과 전단 응력의 대칭성을 이용하면, 3차원 상태의 모든 응력 성분 9개에 대하여 정의가 가능해 집니다.
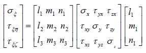
x-y-z좌표계와 ξ-η-ζ 좌표계사의 좌표 변환은 방향 여현을 이용하게 되며, 이 관계를 매트릭스로 표시하면 다음과 같습니다.

- 식3.12로 표시한 응력의 변환 공식을, 위 관계를 이용하여 매트릭스 표현을 하면 다음과 같습니다.

- 위 식을 나머지 각 축에 대해서 확장시키면 다음의 관계를 얻습니다.

- 식 3.12와 같은 좌표 변환에 대해서, 이러한 변환 법칙에 지배 받는 양을 수학적으로 텐서(tensor)라고 합니다. 즉, 탄성체 내의 임의의 점에서의 내력의 상태를 나타내는 응력은 텐서량이며, 따라서 응력텐서로서 정의됩니다.
-- 이전 포스터 --
2023.02.04 - [의공학/기초 역학] - 탄소성학의 기초 - (3)
탄소성학의 기초 - (3)
안녕하십니까, Doctor Ryu's Dictionary입니다. 지난 시간에는 변형률에 대해서 알아보았습니다. 특히, 2차원 문제에 있어서의 변형률과 3차원 문제에 있어서의 변형률, 그리고 임의의 방향의 변형률(
doctor-ryu-dictionary.com
반응형
'의공학 > 기초 역학' 카테고리의 다른 글
| 탄소성학의 기초 - (6) (0) | 2023.02.04 |
|---|---|
| 탄소성학의 기초 - (5) (0) | 2023.02.04 |
| 탄소성학의 기초 - (3) (0) | 2023.02.04 |
| 탄소성학의 기초 - (2) (0) | 2023.02.04 |
| 탄소성학의 기초 - (1) (0) | 2023.02.02 |
