반응형
응력의 정의
물체 표면의 응력
수직 응력(Normal stress)
- 그림 1.1과 같이, 물체가 압력,p,의 액체 중에 있으면, 액체는 물체의 재질에 상관없이 물체의 표면에 압력,p,를 가합니다. 이때, 표면에 마찰력이 작용하지 않으면 압력은 당연히 표면에 수직으로 작용합니다. 액체란, 정지 상태에서 마찰력을 지지하는 것이 불가능하므로, 물체표면에 작용하는 것은 수직방향의 압력,p,뿐입니다. 이 상태에서, 물체의 표면에 있어서의 수직응력은 압력과 크기가 같으며 수식으로 표현하면 다음과 같습니다. 즉,

- 이렇게 수직 응력은 “힘이 표면에 균일하게 작용할 때, 단위 면적당 작용하는 힘”으로 정의하며, 표면에 작용하는 힘의 분포가 균일하지 않은 경우는, 균일하다고 볼 수 있을 정도로 충분히 작은 면적을 생각해서 정의합니다.

Fig. 1.1 Isolated material subjected to hydrostatic pressure
전단 응력(Shear stress)
- 그림 1.2와 같이, 중량,W,의 블록이 평면상에 있을 때, 이 블록을 수평 방향으로 밀어서 이동시키는 힘F는 다음과 같이 표현됩니다.

- 여기서, μ는 정마찰계수입니다. 이 경우, 블록의 밑바닥과 평면상의 접촉면은 같은 크기의 마찰력을 받게 됩니다. 이 두 개의 면에 작용하는 접선 방향의 힘의 크기를 전단 응력이라고 정의합니다. 그림 1.2의 경우, 접촉면의 전단 응력은 장소에 따라 다를지도 모르지만, 평균 전단 응력은 다음 식으로 나타낼 수 있습니다.


Fig. 1.2 Isolated materials subjected to shearing force
물체 내부의 응력
- 그림 1.1의 물체 내부에 있는 미소면 A를 고려해보면, 면 A에는 어떤 힘이 작용하고 있을 것입니다. 그러나 A에 작용하는 수직 응력에 대해서는 아무것도 알 수가 없습니다. 왜냐하면, A에 작용하고 있다고 생각되는 내력의 크기도 방향도 알 수 없기 때문입니다. 그렇지만, 가령 내력의 법선방향성분이 Fn 이라고 가정한다면 A에 포함되는 임의의 한 점의 수직 응력은 다음과 같이 극한 표시로서 표현이 가능하게 됩니다.

- 동일하게, 내력의 접선방향성분이 Ft 라고 가정한다면, 동일한 점에서 전단 응력은 다음 식으로 표현할 수 있습니다.

- 일반적인 문제에서는, 당연히 물체 내부의 응력 상태는 위치에 따라 변화하며 균일하지도 않습니다. 또한 어떤 문제를 풀려고 할 때는, 물체 내의 응력 상태에 대해 아무런 정보도 지니고 있지 않는 것이 보통입니다. 즉, 표면의 응력 또는 변위 상태에 대해서 밖에 알지 못합니다. 이 때, 표면의 응력이나 변위의 상태는 문제를 풀 수 있는 열쇠가 됩니다. 이렇게, 문제를 풀기 전에 이미 알고 있는 응력 혹은 변위를 경계 조건이라 부릅니다.
수직 응력
- 그림 1.3과 같이 임의 형상을 한 일정 두께의 판이 그 외주Γ를 따라 압력,p,를 받고 있는 경우에는, 수직 응력과 전단 응력은 각각 아래와 같이 나타낼 수 있습니다.

- 즉, 경계 조건은 Γ를 따라서 아래와 같이 나타낼 수 있습니다.

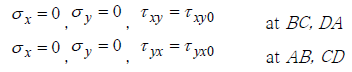
- 그러나 이 상태에서 내부의 점(예를 들면 A)의 수직응력과 전단 응력은 미지의 량입니다. 그러면 이러한 미지의 량은 어떻게 구할까요? 구하는 방법은 다음과 같습니다. 우선, 판의 형상이 그림 1.4와 같이 일정 두께의 직사각형이고 양단 BC, DA에 수직 응력이 AB, CD를 따라 수직 응력이 작용하는 경우에는 경계 조건은 BC, DA를 따라 시그마 x는 시그마 x0와 같으며, 타워 xy는 0과 같다고 할 수 있습니다.
- 그리고 AB, CD를 따라 시그마 y는 시그마 y0, 타워yx는 0이라고 할 수 있습니다.
- 시그마의 첨자 x, y는 각각 x, y방향의 수직 응력인 것을 의미합니다. 또한, 타워의 첨자 x, y는 x=const. 면에 y방향으로 작용하는 전단 응력을 의미한다.
- 그림에서 시그마 x0가 0이 아니고, 시그마 y0가 0이라고 하면, 판의 내부의 임의의 점 E에서도 시그마 x는 시그마 x0, 시그마 y는 0, 타워 xy는 0이며, 내부 어떠한 곳에서도 동일하다는 것을 알 수 있다.

Fig. 1.3 Fig. 1.4
전단 응력
- 그림 1.4와 같이, 단위 두께의 직사각형 판의 단부에 작용하는 응력이 전단 응력뿐인 경우를 생각해보면, 경계 조건은 아래와 같습니다.

- 이 경우에는 판의 내부 응력이 어떻게 될까요? 만약, AB에 작용하는 전단 응력이 그림에서 보이듯이 x축의 음의 방향이라면, CD에 작용하는 전단 응력은 같은 크기로서 x축의 양의 방향으로 작용하지 않으면 안 됩니다. 만약 그렇지 않다면, 판에 작용하는 x방향의 힘은 평형을 이루지 못하고, 그 결과 판은 x축의 어느 방향으로든지 이동하게 됩니다. 이것은 BC, DA상에서도 마찬가지입니다. 게다가 판 ABCD는 회전의 조건으로부터도 평형을 고려하지 않으면 안 됩니다. 즉, xy 평면에 수직인 임의의 축, z축을 고려할 때, z축에 관한 회전 모멘트는 0이 되지 않으면 안 됩니다. 점 A를 지나는 z축에 평행한 축에 대한 회전의 평형 조건은 다음 식과 같습니다.

- 여기서, CD=AB, DA=BC이므로 결국 다음 식을 얻게 됩니다.

- 이 관계는 아주 간단하면서도 아주 중요하다. 즉, 전단 응력은 한 개의 단부에 단독으로 존재할 수는 없는 값이라는 사실이다. 어떠한 경우라도 전단 응력은 그림 1.5과 같은 형태로 존재하여야만 한다.

Fig. 1.5 Fig. 1.6
2차원 응력 문제
- 직사각형 판의 경계 조건이 그림 1.6과 같다면, 판의 내부의 임의의 점에서 응력 상태는 다음과 같습니다.

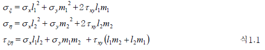
- 이 값들은 X-Y좌표축 상에서의 값들이다. 실제 문제에서는, 다른 임의의 좌표계에 대한 응력 값들을 알아야 할 필요가 자주 생긴다. 따라서 X-Y 좌표계를 θ만큼 회전시킨 ξ-η 좌표계의 응력들을 구해봅시다.
- 그림 1.6의 판 내부에 점선으로 그린 직각 삼각형ABC를 볼 때 그림 1.7에서 보이듯이 각 면에 작용하는 응력은 아래와 같습니다.

- 즉, 그림 1.7에서는 두 개의 면 AC와 AB에 작용하는 응력이 기지의 값이며 이 값들로부터 ξ-η 좌표계의 응력을 구하게 됩니다. 편의상 BC의 길이를 단위 길이 1로 하고 판 두께도 단위 두께를 취한 뒤, X-Y 좌표계와 ξ-η 좌표계 간의 방향 여현을 정의합니다. 방향 여현이란 두 방향이 이루는 각도의 여현(cosine)이므로, 한쪽 방향의 벡터에 대한 다른 방향의 성분을 구할 경우 사용됩니다.

Fig. 1.6 Fig. 1.7
- 그림 1.7의 요소 ABC에 작용하는 힘의 ξ방향 및 η방향의 평형 조건은 아래와 같습니다.

- 위 식에서 ( )안의 양은 삼각형의 한 변에 작용하는 힘, 즉 응력 면적이며 ( )에 곱해져 있는 값은 방향 여현으로서, 힘의 성분을 취하고 있습니다. 위 식과 같은 응력의 변환 에 있어서 실제로 사용되고 있는 것은 힘의 평형 조건이라는 것에 주의해야 합니다.
- 위의 수식을 정리하면, 아래와 같습니다.

- 그림 1.7의 각도 θ를 이용하여 정리하면 아래와 같습니다.

- 이렇듯, 하나의 좌표계에서 보았을 때 응력이 기지의 값일 경우, 그것들을 다른 좌표 계의 응력에서 보면 어떻게 될까를 항상 생각해야만 합니다.
3차원 응력 문제

Fig. 1.8 Fig. 1.9
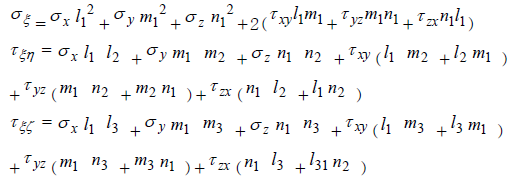
- 그림 1.8와 같은 입방체에 균일한 응력이 작용할 경우, 임의의 방향의 응력을 구하는 방법에 관해서 생각합니다. 전단 응력의 성질(대칭성)로부터 같은 값들을 제외시키면, 3차원 응력 상태는 다음과 같은 6개의 응력 성분이 존재합니다.

- 위의 6개의 응력 값들을 기지의 값이라고 하고, 그림 1.9에서 보이고 있는 ξ-η-ζ 좌표계의 응력을 구한다고 할 경우, 두 개의 좌표계 사이의 방향 여현은 아래와 같습니다.

- 약간 계산해야하는 량이 많기는 하지만, 2차원 응력 상태와 응력의 변환 과정과 동일합니다. 우선, 식 1.1 식 1.2를 잘 살펴보면, 방향 여현에 규칙성이 나타납니다. 또한, 2차원 상태는 3차원 상태의 특수 예에 지나지 않으므로, 2차원 상태에서는 z축과 ξ-η 평면, ξ축과 x-y평면이 각각 수직이며, 따라서 n1=n2=0, l3=m3=0이 됩니다. 이러한 사실들을 고려하면 3차원 상태의 응력 변환 식은 아래와 같습니다.

- 위 식들을 다르게 구하는 방법은, 그림 1.9과 같은 실제의 3차원 좌표계상의 사면체에 대하여, 4개의 면에 작용하는 힘의 평형조건을 고려하면 됩니다. 단, 3차원의 경우에는, 삼각형ABC의 면적을 단위면적1로 할 경우, OBC=l1, OCA=m1, OAB=n1의 관계를 이용하면 됩니다.
반응형
'의공학 > 기초 역학' 카테고리의 다른 글
| 탄소성학의 기초 - (6) (0) | 2023.02.04 |
|---|---|
| 탄소성학의 기초 - (5) (0) | 2023.02.04 |
| 탄소성학의 기초 - (4) (0) | 2023.02.04 |
| 탄소성학의 기초 - (3) (0) | 2023.02.04 |
| 탄소성학의 기초 - (2) (0) | 2023.02.04 |
