반응형
변형률(Strain)
2차원 문제에 있어서의 변형률
- 변형률은 물체의 변형된 정도를 나타내는 량입니다. 그림2.1과 같이 판이 외력을 받을 경우, 변형 전 판의 내부에 있던 미소사각형 ABCD는 그 위치를 바꾸게 됩니다. 2차원 문제에서는 위치(x,y)의 변화는 변위(u,v)에 의해 표현됩니다. 변위가 크다고 해서 반드시 변형률이 큰 것은 아닙니다.
- 물체 전체가 변형 없이도 x방향 혹은 y방향으로 이동할 수도 있기 때문입니다. 또한 x, y 평면에 수직한 임의의 축을 기준으로 회전할 수도 있습니다. 실제 문제에서는 그림 2.1을 예로 들면, 요소 ABCD의 변의 길이의 변화율과 인접하는 두 변사이의 각도의 변화가 중요합니다.
- 전자(변의 길이의 변화율)는 수직 변형률, 후자(두 변 사이의 각도의 변화)는 전단변형률이라고 합니다. 여기서 정의하는 변형률은 변형률과 변위가 충분히 작고 변형후의 위치가 변형전과 비교하여 거의 변하지 않은 경우에 국한합니다. 이 경우를 미소 변형 문제라고 합니다.
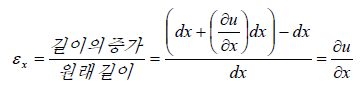
- 변형전의 판의 내부의 사각형의 4개 꼭지점 ABCD의 좌표를 그림 2.2와 같이 두고, 판이 변형된 후 점 A의 x 좌표가 x에서 (x+u)로 변한다면, 점 B의 x좌표는 아래와 같이 변할 것입니다.


Fig. 2.1 Fig. 2.2
- 따라서 AB사이의 길이는 dx로부터 dx+(∂u/∂x)*dx로 변화하게 됩니다. 재료 역학의 변형률 정의에 의하면 x방향의 수직 변형률은 다음과 같습니다.

- 동일하게, y방향의 수직 변형률은 εy = ∂v/∂y 이 됩니다.
- 따라서 수직 변형률이란 “단위 길이 당 길이의 변화량”으로서 정의됩니다. 그러나 수직 변형률만으로는 미소 요소 ABCD의 변형을 기술하는데 충분하지 못합니다. 일반적으로는, 변형전의 사각형 ABCD의 각도가 변형 후에도 동일한 각도를 유지하지는 않습니다. 예를 들면, 사각형은 그림 2.3처럼 변형을 일으킵니다.
- 이 경우, 점 A, B가 이동하지 않고, 점 D와 C가 상대적으로 점 D', C'로 이동합니다. 이 변형은 각도 γ 에 의해 표현이 가능합니다. 이 각도 변화가 전단 변형률입니다. 각도 변화는 그림 2.3의 (b)의 경우가 가장 일반적입니다. 이러한 경우에 있어서 전단 변형률은 다음과 같습니다.

- 그림 2.3의 a와 b에서 전단 변형률이 같다고 해도 변형후의 위치는 서로 달라집니다. 이것은 각도의 변화에 끼친 요소의 z축에 관한 전체적인 회전의 영향이 서로 다르기 때문입니다.
- (a)에서는 변 AD는 γ 만큼 회전하고 변 AB는 회전하지 않으며, 이러한 경우에는 요소는 전체적으로 시계 방향으로 회전하고 있다고 보아야 합니다. 반면에, 변 AD가 시계 방향으로 회전한 각도와 변 AB가 반시계방향으로 회전한 각도가 같을 경우에는 요소는 변형만 일어날 뿐 회전은 하고 있지 않다고 볼 수 있습니다((b)의 경우).

Fig. 2.3
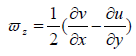
- 따라서 회전이 없는 상태로부터 반 시계 방향으로 얼마만큼 회전각 ϖx 을 가하면 문제가 되고 있는 각 변위를 얻을 수 있는지에 의해 회전을 정의하는 것이 가장 합리적입니다. 즉,

- 이것으로부터 ϖz 로서 다음 식을 얻습니다.

3차원 문제에 있어서의 변형률
- 3차원 문제에서는, 물체의 내부에 입방체상의 블록을 가정하고 그 입방체의 1면에 주목하여 2차원 문제와 동일하게 변형률을 정의하면 됩니다. 2차원 문제에서는 x-y평면을 생각하지만, 이것에 더하여 y-z평면, z-x평면의 변형률과 회전을 정의하기 때문에, x, y, z방향의 변위 u, v, w 로부터 6개의 변형률과 3개의 회전 성분을 얻을 수 있습니다.

- 여기서 6개의 변형률이 3개의 변위만으로 정의되는 사실과 동일 변형률 상태에 대해서 무수히 많은 회전이 존재한다는 사실에 주의해야 합니다.
임의의 방향의 변형률(변형률 변환공식)
2차원 변형률 변환

Fig. 2.4
- 기지의 변형률성분, 예를 들면 x-y좌표계에서 정의된 변형률 성분 εx, εy, γxy으로부터 다른 좌표계의 변형률을 알고 싶을 때 사용하는 것이 변형률 변환공식입니다.
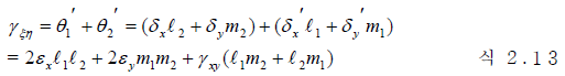
- 그림 2.4 및 2.5에 변형률 변환에 대하여 간단히 도식적으로 표현합니다. 우선, 그림 2.4에서 점 C와 C'는 각각 변환전의 ξ축, η축 상의 점이고 OC, OC'는 계산을 간단히 수행하기 위해 ‘1’로 둡니다. 그림 2.4와 2.5를 참조하면, 점 O에 관한 점C의 상대변위 δx, δy는 다음과 같이 쓸 수 있습니다.

- 위 식에서, 방향여현 l1, m1은 길이를 나타냅니다. εξ는 길이 OC에 ξ 방향의 늘어남을 의미하기 때문에,

- 위 식에서는 방향여현은 δxδy 의 ξ방향 성분을 취하기 때문에 사용되고 있습니다.

Fig. 2.5
- 식 2.8을 2.9에 대입하면,

- 또한 점 C' 의 O에 대한 상대 변위 δ'xδ'y 는

- 이기 때문에 εη 는 다음과 같이 정리할 수 있습니다.

- 식2.8과 식2.11 및 그림 2.5(b)를 고려하면, γξη 는 다음과 같다는 것을 알 수 있습니다.

- 방향여현 대신에 cosθ ,sinθ를 사용하면,

- 이것을 변형률 변환공식이라고 부릅니다. 이 식을 응력 변환 공식과 비교하면 흥미로운 사실을 알 수 있습니다. 응력 변환 공식에서 수직응력, 전단응력의 각항을 εξ, εη, γξη/2 로 치환하면 변형률 변환 공식을 얻을 수 있다는 점입니다.
- 즉, 전단 변형률 γξη을 2로 나누면, 변형률은 응력과 동일하게 텐서 성질을 갖는다고 알려져 있습니다. 따라서 변형률 텐서로 표기하였을 때 전단 변형률은 실제 변형률의 1/2의 값임에 주의해야 합니다.
3차원 변형률 변환
- x, y, z좌표계에서의 변형률 εx, εy, εz, γxy ⋅⋅⋅ 등을 알고 있으면서, 임의의 좌표계에 대한 변형률을 알고 싶을 때는, 2차원의 변환공식 2.10 ~ 2.13에서 나타나는 방향여현의 규칙성에 주목하면 됩니다. 이것은 응력 변환의 경우에 2차원에서 3차원으로 확장한 것과 동일합니다. 결과를 정리하면 다음과 같습니다.

-- 이전 포스터 --
2023.02.02 - [의공학/기초 역학] - 탄소성학의 기초 - (1)
탄소성학의 기초 - (1)
1. 응력의 정의 1.1 물체 표면의 응력 1.1.1 수직 응력(Normal stress) 그림 1.1과 같이, 물체가 압력,p,의 액체 중에 있으면, 액체는 물체의 재질에 상관없이 물체의 표면에 압력,p,를 가합니다. 이때, 표
doctor-ryu-dictionary.com
반응형
'의공학 > 기초 역학' 카테고리의 다른 글
| 탄소성학의 기초 - (6) (0) | 2023.02.04 |
|---|---|
| 탄소성학의 기초 - (5) (0) | 2023.02.04 |
| 탄소성학의 기초 - (4) (0) | 2023.02.04 |
| 탄소성학의 기초 - (3) (0) | 2023.02.04 |
| 탄소성학의 기초 - (1) (0) | 2023.02.02 |
